oleh

Tambah 253, Kasus Corona di Riau per 28 Oktober Tembus 14.251

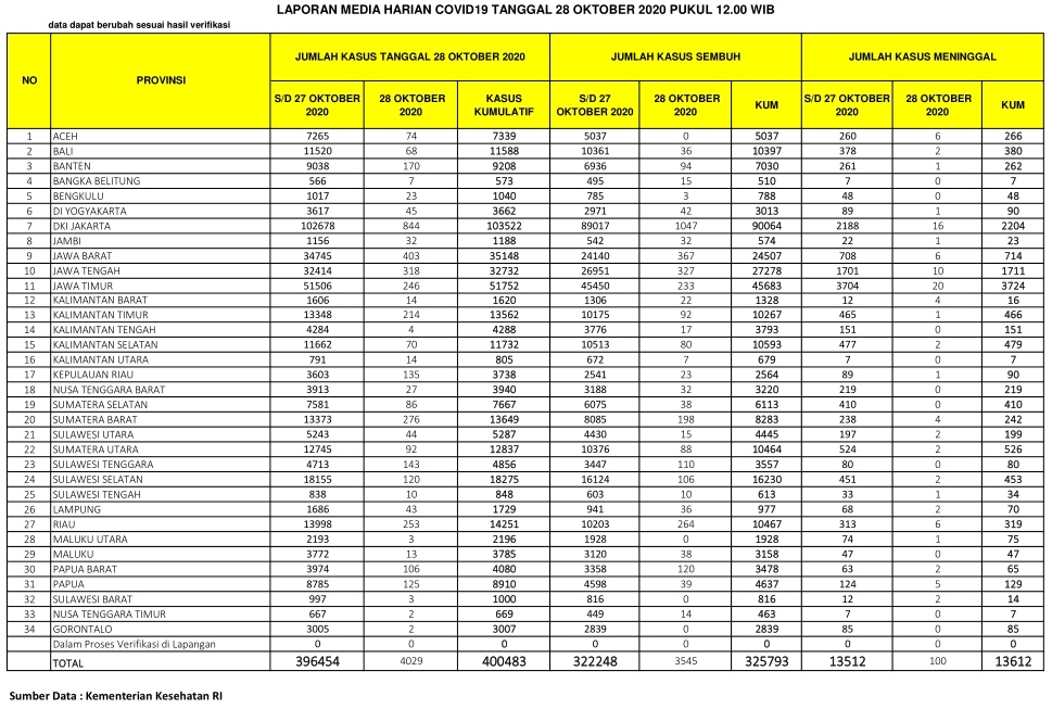
PEKANBARU – Kasus positif virus Corona (Covid-19) di Indonesia hari ini, Rabu  (28/10/2020), bertambah 4.029   orang. Dengan penambahan tersebut, total kasus positif virus Corona di Indonesia menjadi 400.483 orang.

Sementara untuk Provinsi Riau, pasien positif Corona bertambah 253 orang. Dengan demikian, total pasien Covid-19 di Riau berjumlah 14.251 orang sejak pandemi Covid-19 menyerang Indonesia.

Buat Provinsi Riau ini merupakan rekor baru karena rekor penambahan pasien positif Covid-19 per hari sebelumnya berjumlah 352 orang, pada Rabu  (30/9/2020).

Berdasarkan situs Kementerian Kesehatan RI, hari ini dilaporkan juga ada 3.545 pasien sembuh dari Corona. Dengan penambahan itu, maka pasien sembuh dari Corona di RI total berjumlah 325.793 orang.

Baca Juga  Iklan Rokok di Videotron Kejati Riau Diduga Langgar UU Tipikor, Kok Bisa?

Khusus Provinsi Riau, pasien positif Covid-19 yang sembuh hari ini berjumlah 264 orang. Dengan demikian, total pasien sembuh di Negeri Lancang Kuning itu menjadi 10.467 orang.

Di sisi lain, pasien positif Corona yang meninggal dunia di Indonesia hari ini ada 100 orang. Dengan demikian, total pasien positif Covid-19 yang meninggal menjadi 13.612 orang.

Baca Juga  Update Corona Riau 29 Mei: Tambah 652 Kasus Baru, 413 Sembuh, 19 Meninggal

Sementara pasien Covid-19 yang meninggal karena Corona di Provinsi Riau hari ini ada 6 orang, dengan demikian total sudah mencapai 319 orang.

Berikut sebaran 4.029 kasus baru Corona di Indonesia, Rabu  (28/10/2020):

DKI Jakarta: 844 kasus

Jawa Barat: 403 kasus
Jawa Tengah: 318 kasus
Sumatera Barat: 276 kasus
Riau: 253 kasus
Jawa Timur: 246 kasus
Kalimantan Timur: 214 kasus
Banten: 170 kasus
Sulawesi Tenggara: 143 kasus
Kepulauan Riau: 135 kasus
Papua: 125 kasus
Sulawesi Selatan: 120 kasus
Papua Barat: 106 kasus
Sumatera Utara: 92 kasus
Sumatera Selatan: 86 kasus
Aceh: 74 kasus
Kalimantan Selatan: 70 kasus
Bali: 68 kasus
DI Yogyakarta: 45 kasus
Sulawesi Utara: 44 kasu
Lampung: 43 kasus
Jambi: 32 kasus
Nusa Tenggara Barat: 27 kasus
Bengkulu: 23 kasus
Kalimantan Barat: 14 kasus
Kalimantan Utara: 14 kasus
Maluku: 13 kasus
Sulawesi Tengah: 10 kasus
Bangka Belitung: 7 kasus
Kalimantan Tengah: 4 kasus
Maluku Utara: 3 kasus
Sulawesi Barat: 3 kasus
Nusa Tenggara Timur: 2 kasus
Gorontalo: 2 kasus. (zon/riausatu.com)

News Feed