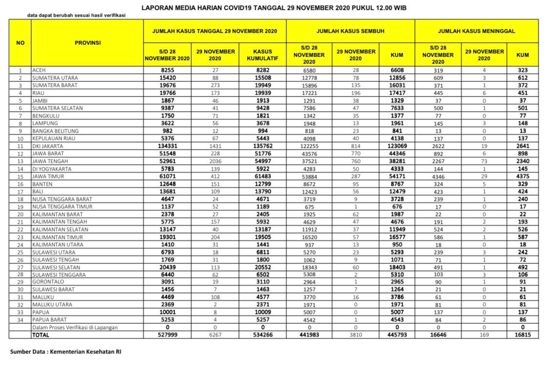
PEKANBARU – Kasus positif virus Corona (Covid-19) di Republik Indonesia (RI), Ahad (29/11/2020), bertambah 6.267 orang. Dengan penambahan tersebut, total kasus positif virus Corona di Indonesia menjadi 534.266 orang.
Penambahan 6.267 kasus baru pasien positif Covid-19 di Indonesia hari ini tercatat sebagai rekor baru penambahan kasus harian.
Sementara untuk Provinsi Riau, pasien positif Corona bertambah 173 orang. Dengan demikian, total pasien Covid-19 di Riau berjumlah 19.939 orang sejak pandemi Covid-19 menyerang Indonesia.
Berdasarkan situs Kementerian Kesehatan RI, hari ini dilaporkan juga ada 3.810 pasien sembuh dari Corona. Dengan penambahan itu, maka pasien sembuh dari Corona di Indonesia menjadi 445.793 orang.
Khusus Provinsi Riau, pasien positif Covid-19 yang sembuh hari ini berjumlah 196 orang. Dengan demikian, total pasien sembuh di Negeri Lancang Kuning itu menjadi 17.417 orang.
Di sisi lain, pasien positif Corona yang meninggal dunia di Indonesia hari ini ada 169 orang. Dengan demikian, total pasien positif Covid-19 yang meninggal menjadi 16.815 orang.
Sementara pasien Covid-19 yang meninggal karena Corona di Provinsi Riau hari ini ada 6 orang, dengan demikian total sudah mencapai 451 orang.
Berikut sebaran 6.267 kasus baru Corona di Indonesia, Ahad (29/11/2020):
Jawa Tengah: 2.036 kasus
DKI Jakarta: 1.431 kasus
Jawa Timur: 412 kasus
Sumatera Barat: 273 kasus
Jawa Barat: 228 kasus
Kalimantan Timur: 204 kasus
Riau: 173 kasus
Kalimantan Tengah: 157 kasus
Banten: 151 kasus
DI Yogyakarta: 139 kasus
Sulawesi Selatan: 113 kasus
Bali: 109 kasus
Maluku: 108 kasus
Sumatera Utara: 88 kasus
Bengkulu: 71 kasus
Kepulauan Riau: 67 kasus
Sulawesi Tenggara: 62 kasus
Lampung: 56 kasus
Nusa Tenggara Timur: 52 kasus
Jambi: 46 kasus
Sumatera Selatan: 41 kasus
Kalimantan Selatan: 40 kasus
Kalimantan Utara: 31 kasus
Sulawesi Tengah: 31 kasus
Aceh: 27 kasus
Kalimantan Barat: 27 kasus
Nusa Tenggara Barat: 24 kasus
Gorontalo: 19 kasus
Sulawesi Utara: 18 kasus
Bangka Belitung: 12 kasus
Papua: 8 kasus
Sulawesi Barat: 7 kasus
Papua Barat: 4 kasus
Maluku Utara: 2 kasus. (zon/riausatu.com)








