PEKANBARU – Pemerintah kembali melaporkan perkembangan kasus virus Corona (Covid-19) di Indonesia.
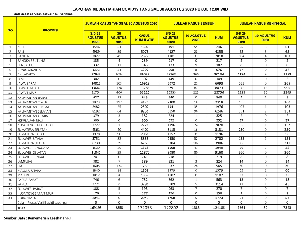
Hari ini, Ahad (30/8/2020), dilaporkan ada penambahan kasus positif Covid-19 sebanyak 2.858. Dengan demikian, untuk Indonesia jumlah kasus Covid-19 menjadi 172.053.
Khusus Provinsi Riau, pecah rekor penambahan kasus Covid-19, yang sebelumnya terjadi pada Kamis (27/8/2020), yakni 99 kasus. Hari ini rekor itu kembali pecah di Riau, karena Ahad (30/8/2020), penambahan kasus pasien positif berjumlah 134 orang. Dengan demikian, total kasus positif Covid-19 di Riau menjadi total 1.739 orang.
Dikutip dari laman covid19.go.id, tercatat ada sebanyak 124.185 kasus sembuh hingga hari ini, sementara kasus kematian akibat Corona total mencapai 7.343 orang.
Berikut sebaran 2.858 kasus baru Corona di Indonesia, Ahad (30/8/2020):
Aceh: 54 kasus
Bali: 89 kasus
Banten: 45 kasus
Bangka Belitung : 4 kasus
Bengkulu: 11 kasus
DI Yogyakarta: 24 kasus
DKI Jakarta: 1.094 kasus
Jawa Barat: 103 kasus
Jawa Tengah: 138 kasus
Jawa Timur: 446 kasus
Kalimantan Barat: 18 kasus
Kalimantan Timur: 197 kasus
Kalimantan Tengah: 25 kasus
Kalimantan Selatan: 64 kasus
Kalimantan Utara: 3 kasus
Nusa Tenggara Barat: 1 kasus
Sumatera Selatan: 40 kasus
Sumatera Barat: 90 kasus
Sulawesi Utara: 82 kasus
Sumatera Utara: 39 kasus
Sulawesi Tenggara: 26 kasus
Sulawesi Selatan: 29 kasus
Lampung: 7 kasus
Riau: 134 kasus
Maluku Utara: 18
Maluku: 20 kasus
Papua Barat: 6 kasus
Papua: 25 kasus
Sulawesi Barat: 5 kasus
Nusa Tenggara Timur: 1 kasus. (zon/riausatu.com)









Komentar