oleh

Astagfirullah! Kasus Positif Riau Tambah 352 pada 30 September, Meninggal 8

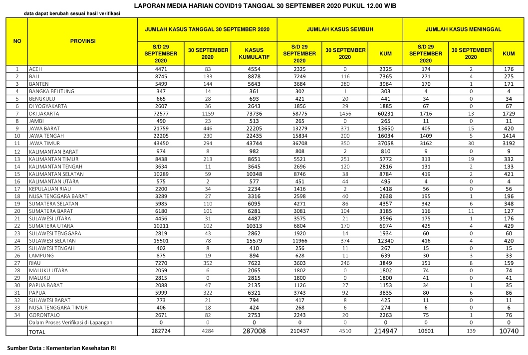
PEKANBARU – Kasus positif virus Corona (Covid-19) di Indonesia di penghujung bulan ini, Rabu  (30/9/2020), bertambah 4.284 orang. Dengan penambahan tersebut, total kasus positif virus Corona di Indonesia hari ini menjadi 287.008 orang.

Sementara untuk Provinsi Riau, pasien positif Corona bertambah 352 orang. Dengan demikian, total pasien Covid-19 di Riau berjumlah 7.623 orang sejak pandemi Covid-19 menyerang Indonesia.

Buat Provinsi Riau ini merupakan rekor baru karena rekor penambahan pasien positif Covid-19 per hari sebelumnya berjumlah 303 orang, pada Sabtu (19/9/2020) lalu.

Baca Juga  Update Corona di Riau 6 Oktober: Tambah 131 Kasus, Meninggal 6

Berdasarkan situs Kementerian Kesehatan RI, hari ini dilaporkan juga ada 4.510 pasien sembuh dari Corona. Dengan penambahan itu, maka pasien sembuh dari Corona di RI total berjumlah 214.947 orang.

Khusus Provinsi Riau, pasien positif Covid-19 yang sembuh hari ini berjumlah 246 orang. Dengan demikian, total pasien sembuh di Negeri Lancang Kuning itu menjadi 3.849 orang.

Di sisi lain, pasien positif Corona yang meninggal dunia di Indonesia hari ini berjumlah 139 orang. Dengan demikian, total pasien positif Covid-19 yang meninggal menjadi 10.740 orang.

Baca Juga  KSAD Jenderal Dudung Abdurachman Minta SMSI Teruskan Kembangkan Jurnalisme Jujur

Sementara pasien Covid-19 yang meninggal karena Corona di Provinsi Riau hari ini ada 8 orang, dengan demikian total sudah mencapai 159 orang.

Berikut sebaran 4.284 kasus baru Corona di Indonesia, Rabu  (30/9/2020):

DKI Jakarta: 1.159 kasus

Jawa Barat: 446 kasus

Riau: 352 kasus

Papua: 322 kasus

Jawa Timur: 294 kasus

Jawa Tengah: 230 kasus

Kalimantan Timur: 213 kasus

Banten: 144 kasus

Bali: 133 kasus

Sumatera Selatan: 110 kasus

Sumatera Utara: 102 kasus

Sumatera Barat: 101 kasus

Baca Juga  Update Corona Riau di Awal 2021: Tambah 147 Kasus, Total 25.113

Aceh: 83 kasus

Gorontalo: 82 kasus

Sulawesi Selatan: 78 kasus

Kalimantan Selatan: 59 kasus

Papua Barat: 47 kasus

Sulawesi Tenggara: 43 kasus

DI Yogyakarta: 36 kasus

Kepulauan Riau: 34 kasus

Sulawesi Utara: 31 kasus

Bengkulu: 28 kasus

Nusa Tenggara Barat: 27 kasus

Jambi: 23 kasus

Sulawesi Barat: 21 kasus

Lampung: 19 kasus

Nusa Tenggara Timur: 18 kasus

Bangka Belitung: 14 kasus

Kalimantan Tengah: 11 kasus

Kalimantan Barat: 8 kasus

Sulawesi Tengah: 8 kasus

Maluku Utara: 6 kasus

Kalimantan Utara: 2 kasus. (zon/riausatu.com)

News Feed