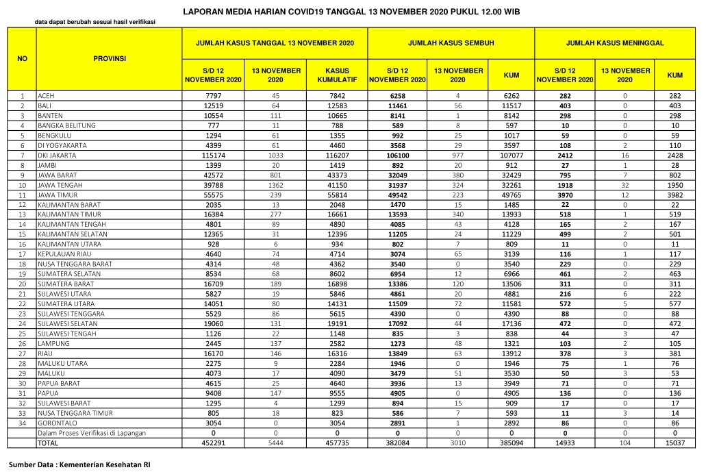
PEKANBARU – Kasus positif virus Corona (Covid-19) di Republik Indonesia (RI), Jumat (13/11/2020), pecah rekor dengan penambahan 5.444 orang. Dengan penambahan tersebut, total kasus positif virus Corona di Indonesia menjadi 457.735 orang.
Sementara untuk Provinsi Riau, pasien positif Corona bertambah 146 orang. Dengan demikian, total pasien Covid-19 di Riau berjumlah 16.316 orang sejak pandemi Covid-19 menyerang Indonesia.
Berdasarkan situs Kementerian Kesehatan RI, hari ini dilaporkan juga ada 3.010 pasien sembuh dari Corona. Dengan penambahan itu, maka pasien sembuh dari Corona di RI total berjumlah 385.094 orang.
Khusus Provinsi Riau, pasien positif Covid-19 yang sembuh hari ini berjumlah 63 orang. Dengan demikian, total pasien sembuh di Negeri Lancang Kuning itu menjadi 13.912 orang.
Di sisi lain, pasien positif Corona yang meninggal dunia di Indonesia hari ini ada 104 orang. Dengan demikian, total pasien positif Covid-19 yang meninggal menjadi 15.037 orang.
Sementara pasien Covid-19 yang meninggal karena Corona di Provinsi Riau hari ini ada 3 orang, dengan demikian total sudah mencapai 381 orang.
Berikut sebaran 5.444 kasus baru Corona di Indonesia, Jumat (13/11/2020):
Jawa Tengah: 1.362 kasus
DKI Jakarta: 1.033 kasus
Jawa Barat: 801 kasus
Kalimantan Timur: 277 kasus
Jawa Timur: 239 kasus
Sumatera Barat: 189 kasus
Papua: 147 kasus
Riau: 146 kasus
Lampung: 137 kasus
Sulawesi Selatan: 131 kasus
Banten: 111 kasus
Kalimantan Tengah: 89 kasus
Sulawesi Tenggara: 86 kasus
Sumatera Utara: 80 kasus
Kepulauan Riau: 74 kasus
Sumatera Selatan: 68 Kasus
Bali: 64 kasus
Bengkulu: 61 kasus
DI Yogyakarta: 61 kasus
Nusa Tenggara Barat: 48 kasus
Aceh: 45 kasus
Kalimantan Selatan: 31 kasus
Papua Barat: 25 kasus
Sulawesi Tengah: 22 kasus
Jambi: 20 kasus
Sulawesi Utara: 19 kasus
Nusa Tenggara Timur: 18 kasus
Maluku: 17 kasus
Kalimantan Barat: 13 kasus
Bangka Belitung: 11 kasus
Maluku Utara: 9 kasus
Kalimantan Utara: 6 kasus
Sulawesi Barat: 4. (zon/riausatu.com)








