oleh

Kembali Turun Kasus Baru Corona Riau 14 November, 49 Sembuh

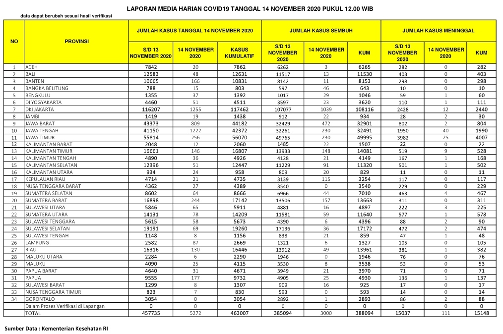
PEKANBARU – Kasus positif virus Corona (Covid-19) di Indonesia, Sabtu  (14/11/2020), bertambah 5.272 orang. Dengan penambahan tersebut, total kasus positif virus Corona di Indonesia menjadi 463.007 orang.

Sementara untuk Provinsi Riau, pasien positif Corona bertambah 130 orang. Dengan demikian, total pasien Covid-19 di Riau berjumlah 16.446 orang sejak pandemi Covid-19 menyerang Indonesia.

Berdasarkan situs Kementerian Kesehatan RI, hari ini dilaporkan juga ada 3.000 pasien sembuh dari Corona. Dengan penambahan itu, maka pasien sembuh dari Corona di Indonesia  menjadi 388.094 orang.

Baca Juga  Riau 16, Berikut Sebaran 372 Kasus Baru Corona RI pada 25 November

Khusus Provinsi Riau, pasien positif Covid-19 yang sembuh hari ini berjumlah 49 orang. Dengan demikian, total pasien sembuh di Negeri Lancang Kuning itu menjadi 13.961 orang.

Di sisi lain, pasien positif Corona yang meninggal dunia di Indonesia hari ini ada 111 orang. Dengan demikian, total pasien positif Covid-19 yang meninggal menjadi 15.148 orang.

Baca Juga  Produksi Sampah di Kota Bengkulu Meningkat Selama Ramadan

Sementara pasien Covid-19 yang meninggal karena Corona di Provinsi Riau hari ini ada 1 orang, dengan demikian total sudah mencapai 382 orang.

Berikut sebaran 5.272 kasus baru Corona di Indonesia, Sabtu  (14/11/2020):

DKI Jakarta: 1.255

Jawa Tengah: 1.222
Jawa Barat: 809
Jawa Timur: 256
Sumatera Barat: 244
Papua: 177
Banten: 166
Kalimantan Timur: 146
Riau: 130
Lampung: 87
Sumatera Utara: 78
Sulawesi Selatan: 69
Sulawesi Utara: 65
Sumatera Selatan: 64
Sulawesi Tenggara: 58
DI Yogyakarta: 51
Kalimantan Selatan: 51
Bali: 48
Bengkulu: 37
Kalimantan Tengah: 36
Papua Barat: 31
NTB: 27
Maluku: 25
Kalimantan Utara: 24
Kepulauan Riau: 21
Aceh: 20
Jambi: 19
Bangka Belitung: 15
Kalimantan Barat: 12
Sulawesi Tengah: 8
Sulawesi Barat: 8
NTT: 7
Maluku Utara: 6. (zon/riausatu.com)

News Feed