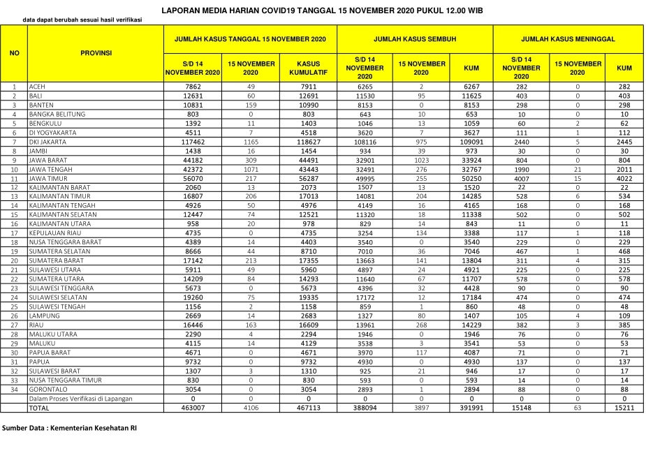
PEKANBARU – Kasus positif virus Corona (Covid-19) di Indonesia, Ahad (15/11/2020), bertambah 4.106 orang. Dengan penambahan tersebut, total kasus positif virus Corona di Indonesia menjadi 467.113 orang.
Sementara untuk Provinsi Riau, pasien positif Corona bertambah 163 orang. Dengan demikian, total pasien Covid-19 di Riau berjumlah 16.609 orang sejak pandemi Covid-19 menyerang Indonesia.
Berdasarkan situs Kementerian Kesehatan RI, hari ini dilaporkan juga ada 3.897 pasien sembuh dari Corona. Dengan penambahan itu, maka pasien sembuh dari Corona di Indonesia menjadi 391.991 orang.
Khusus Provinsi Riau, pasien positif Covid-19 yang sembuh hari ini berjumlah 268 orang. Dengan demikian, total pasien sembuh di Negeri Lancang Kuning itu menjadi 14.229 orang.
Di sisi lain, pasien positif Corona yang meninggal dunia di Indonesia hari ini ada 63 orang. Dengan demikian, total pasien positif Covid-19 yang meninggal menjadi 15.211 orang.
Sementara pasien Covid-19 yang meninggal karena Corona di Provinsi Riau hari ini ada 3 orang, dengan demikian total sudah mencapai 385 orang.
Berikut sebaran 4.106 kasus baru Corona di Indonesia, Ahad (15/11/2020):
Aceh: 49 kasus
Bali: 60 kasus
Banten: 159 kasus
Bengkulu: 11 kasus
DI Yogyakarta: 7 kasus
DKI Jakarta: 1.165 kasus
Jambi: 16 kasus
Jawa Barat: 309 kasus
Jawa Tengah: 1.071 kasus
Jawa Timur: 217 kasus
Kalimantan Barat: 13 kasus
Kalimantan Timur: 206 kasus
Kalimantan Tengah: 50 kasus
Kalimantan Selatan: 74 kasus
Kalimantan Utara: 20 kasus
Nusa Tenggara Barat: 14 kasus
Sumatera Selatan: 44 kasus
Sumatera Barat: 213 kasus
Sulawesi Utara: 49 kasus
Sumatera Utara: 84 kasus
Sulawesi Selatan: 75 kasus
Sulawesi Tengah: 2 kasus
Lampung: 14 kasus
Riau: 163 kasus
Maluku Utara: 4 kasus
Maluku: 14 kasus
Sulawesi Barat: 3 kasus. (zon/riausatu.com)








