oleh

Sip! Hari Ini Pasien Corona di Riau yang Sembuh Lebih Banyak dari Kasus Baru

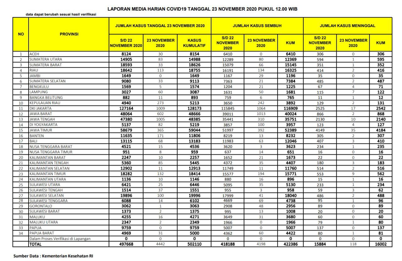
PEKANBARU – Kasus positif virus Corona (Covid-19) di  Indonesia, Senin (23/11/2020), bertambah 4.442 orang. Dengan penambahan tersebut, total kasus positif virus Corona di Indonesia menjadi 502.110 orang.

Sementara untuk Provinsi Riau, pasien positif Corona bertambah 113 orang. Dengan demikian, total pasien Covid-19 di Riau berjumlah 18.755 orang sejak pandemi Covid-19 menyerang Indonesia.

Berdasarkan situs Kementerian Kesehatan RI, hari ini dilaporkan juga ada 4.198 pasien sembuh dari Corona. Dengan penambahan itu, maka pasien sembuh dari Corona di Indonesia  menjadi 422.386 orang.

Baca Juga  Update Data Corona di Riau 16 Juni; Tambah 326 Kasus Baru, 452 Sembuh

Khusus Provinsi Riau, pasien positif Covid-19 yang sembuh hari ini berjumlah 134 orang. Dengan demikian, total pasien sembuh di Negeri Lancang Kuning itu menjadi 16.325 orang.

Di sisi lain, pasien positif Corona yang meninggal dunia di Indonesia hari ini ada 118 orang. Dengan demikian, total pasien positif Covid-19 yang meninggal menjadi 16.002 orang.

Baca Juga  Ngeri! Riau Sumbang 628, Berikut Sebaran 6.327 Kasus Baru Corona di RI pada 7 Mei

Sementara pasien Covid-19 yang meninggal karena Corona di Provinsi Riau hari ini ada 2 orang, dengan demikian total sudah mencapai 416 orang.

Berikut sebaran 4.442 kasus baru Corona di Indonesia, Senin  (23/11/2020):

DKI Jakarta: 1.009
Jawa Tengah: 1.005
Jawa Barat: 602
Jawa Timur: 365
Kepulauan Riau: 273
Banten: 171
Kalimantan Timur: 132
Riau: 113
Sulawesi Selatan: 100
Kalimantan Tengah: 85
Sumatera Utara: 83
DI Yogyakarta: 82
Bali: 68
Lampung: 60
Sulawesi Tengah: 37
Sumatera Barat: 33
Sumatera Selatan: 33
Papua Barat: 31
Aceh: 30
Sulawesi Utara: 25
Maluku: 16
NTB: 15
Sulawesi Tenggara: 14
Bangka Belitung: 11
Kalimantan Selatan: 11
Kalimantan Barat: 10
Kalimantan Utara: 10
NTT: 8
Bengkulu: 5
Sulawesi Barat: 2
Maluku Utara: 2
Gorontalo: 1. (zon/riausatu.com)

News Feed