PEKANBARU – Dahsyat! Tiga hari berturut-turut, rekor penambahan kasus pasien positif Covid-19 per hari di Republik Indonesia (RI), saling kejar-kejaran.
Betapa tidak, berturut-turut
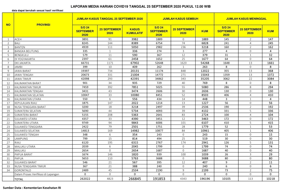
Rabu (23/9/2020) 4.465 kasus, Kamis (24/9/2020) 4.634 kasus, hari ini Jumat (25/9/2020), rekor penambahan kasus pasien positif Covid-19 harian bertambah 4.823 orang.
Dengan penambahan tersebut, total kasus positif virus Corona di Indonesia hari ini menjadi 266.845 orang sejak pandemi Covid-19 menyerang Indonesia.
Sementara untuk Provinsi Riau, pasien positif bertambah 195 orang. Dengan demikian, pasien Covid-19 di Riau total menjadi 6.315 orang.
Berdasarkan situs Kementerian Kesehatan RI, dilaporkan ada 4.343 pasien sembuh dari Corona. Dengan penambahan itu, maka pasien dinyatakan sembuh dari Corona di RI total berjumlah 196.196 orang.
Di sisi lain, pasien positif Corona yang meninggal dunia, Jumat (25/9/2020), berjumlah 113 orang. Dengan demikian, total pasien positif Covid-19 yang meninggal menjadi 10.218 orang.
Khusus Provinsi Riau, pasien sembuh hari ini berjumlah 174 orang, dengan demikian total pasien sembuh menjadi 2.941 orang.
Sementara pasien Covid-19 yang meninggal karena Corona di Provinsi Riau hari ini ada 5 orang, dengan demikian total pasien meninggal menjadi 131 orang.
Berikut sebaran 4.823 kasus baru Corona di Indonesia, Jumat (25/9/2020):
1. Aceh: 91 (3982) kasus positif
2. Bali: 144 (8389) kasus positif
3. Banten: 111 (5050) kasus positif
4. Bangka Belitung: 1 (336) kasus positif
5. Bengkulu: 11 (590) kasus positif
6. DI Yogyakarta: 61 (2.458) kasus positif
7. DKI Jakarta: 1.171 (67.902) kasus positif
8. Jambi: 10 (409) kasus positif
9. Jawa Barat: 734 (20.131) kasus positif
10. Jawa Tengah: 331 (21.004) kasus positif
11. Jawa Timur: 293 (42.391) kasus positif
12. Kalimantan Barat: 34 (935) kasus positif
13. Kalimantan Timur: 392 (7.851) kasus positif
14. Kalimantan Tengah: 43 (3.474) kasus positif
15. Kalimantan Selatan: 33 (10.080) kasus positif
16. Kalimantan Utara: 6 (556) kasus positif
17. Kepulauan Riau: 147 (2.022) kasus positif
18. Nusa Tenggara Barat: 18 (3.218) kasus positif1
9. Sumatera Selatan: 44 (5.734) kasus positif
20. Sumatera Barat: 208 (5.363) kasus positif
21. Sulawesi Utara: 33 (4.390) kasus positif
22. Sumatera Utara: 94 (9.843) kasus positif
23. Sulawesi Tenggara: 79 (2.501) kasus positif
24. Sulawesi Selatan: 169 (14.982) kasus positif
25. Sulawesi Tengah: 6 (354) kasus positif
26. Lampung: 15 (814) kasus positif
27. Riau: 195 (6.315) kasus positif
28. Maluku Utara: 6 (2.045) kasus positif
29. Maluku: 0 (2.654) kasus positif
30. Papua Barat: 146 (1.820) kasus positif
31. Papua: 110 (5.763) kasus positif
32. Sulawesi Barat: 21 (567) kasus positif
33. Nusa Tenggara Timur: 21 (338) kasus positif
34. Gorontalo: 45 (2.534) kasus positif. (zon/riausatu.com)








