oleh

Riau Tambah 49, Berikut Sebaran 6.208 Kasus Positif Corona di RI 27 Februari

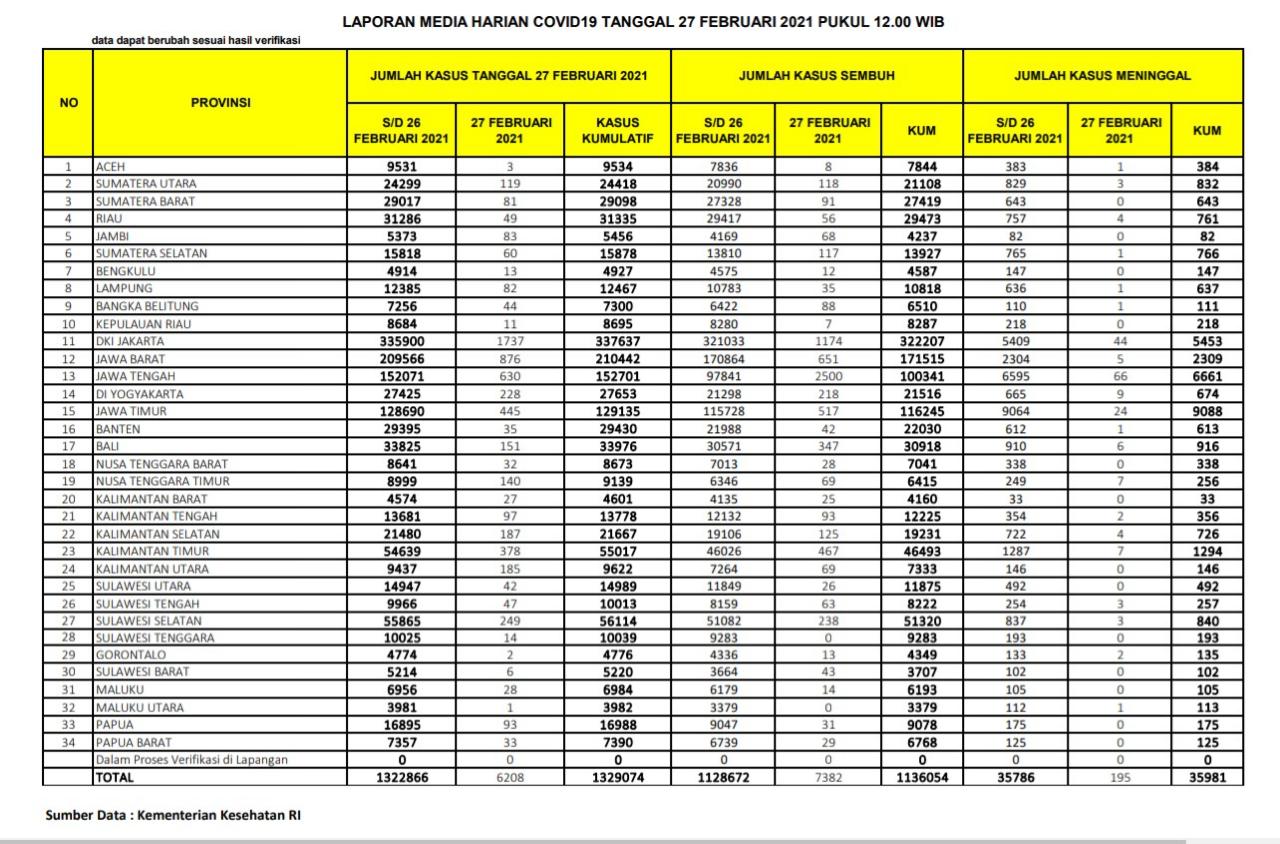
PEKANBARU – Kasus positif virus Corona (Covid-19) di Republik Indonesia (RI), Sabtu (27/2/2021), bertambah 6.208 orang. Dengan penambahan tersebut, total kasus positif virus Corona di Indonesia menjadi
1.329.074 kasus.

Sementara untuk Provinsi Riau, pasien positif Corona bertambah 49 orang. Dengan demikian, total pasien Covid-19 di Riau berjumlah 31.335 orang sejak pandemi Covid-19 menyerang Indonesia.

Berdasarkan situs Kementerian Kesehatan RI, hari ini dilaporkan juga ada 7.382 pasien sembuh dari Corona. Dengan penambahan itu, maka pasien sembuh dari Corona di Indonesia menjadi 1.136.054 orang.

Baca Juga  Ini Sebaran 850 Kasus Baru Corona RI pada 14 Januari, Riau Tambah 1

Khusus Provinsi Riau, pasien positif Covid-19 yang sembuh hari ini berjumlah 56 orang. Dengan demikian, total pasien sembuh di Negeri Lancang Kuning itu menjadi 29.473 orang.

Di sisi lain, pasien positif Corona yang meninggal dunia di Indonesia hari ini ada 195 orang. Dengan demikian, total pasien positif Covid-19 yang meninggal menjadi 35.981 orang.

Sementara pasien Covid-19 yang meninggal karena Corona di Provinsi Riau hari ini ada 4 orang, dengan demikian total sudah mencapai 761 orang.

Baca Juga  Pecah Rekor Lagi! Tambah 194, Kasus Positif Corona di Riau Jadi 3.163

Berikut sebaran 6.208 kasus baru Corona di Indonesia, Sabtu (27/2/2021):

DKI Jakarta: 1.737 kasus
Jawa Barat: 876 kasus
Jawa Tengah: 630 kasus
Jawa Timur: 445 kasus
Kalimantan Timur: 378 kasus
Sulawesi Selatan: 249 kasus
DI Yogyakarta: 228 kasus
Kalimantan Selatan: 187 kasus
Kalimantan Utara: 185 kasus
Bali: 151 kasus
Nusa Tenggara Timur: 140 kasus
Sumatera Utara: 119 kasus
Kalimantan Tengah: 97 kasus
Papua: 93 kasus
Jambi: 83 kasus
Lampung: 82 kasus
Sumatera Barat: 81 kasus
Sumatera Selatan: 60 kasus
Riau: 49 kasus
Sulawesi Tengah: 47 kasus
Bangka Belitung: 44 kasus
Sulawesi Utara: 42 kasus
Banten: 35 kasus
Papua Barat: 33 kasus
Nusa Tenggara Barat: 32 kasus
Maluku: 28 kasus
Kalimantan Barat: 27 kasus
Sulawesi Tenggara: 14 kasus
Bengkulu: 13 kasus
Kepulauan Riau: 11 kasus
Sulawesi Barat: 6 kasus
Aceh: 3 kasus
Gorontalo: 2 kasus
Maluku Utara: 1 kasus. (zon/riausatu.com)

News Feed